IFOA IFOA CAA M0
Q: 1
Consider a function f which has three variables, x1, x2 and x3.
Identify which of the following gives a correct definition of a partial derivative of the function f.
Options
Q: 2
Determine which of the following is the Maclaurin expansion (up to the second order term) of: e2x
A)
B)
C)
D)

B)
C)
D)

Options
Q: 3
Calculate which of the following is a simplification of (1 + x)2 - x2 + ln(e3x).
Options
Q: 4
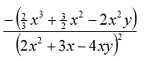
Consider the function:
Calculate the partial derivative
.
A)
B)
C)
D)

Calculate the partial derivative
.
A)
B)
C)
D)

Options
Q: 5
The variable s can take values between 2 and 6.
Identify which of the inequalities shown can be satisfied by at least one value of s.
Options
Q: 6
Identify which of the following involves weak inequality.
A)
B)
C)
D)

B)
C)
D)

Options
Q: 7
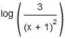
Determine which of the options is equal to log(3) - 2log(x+1).
A)
B)
C)
D)

B)
C)
D)

Options
Q: 8
A boy is asked to estimate the height of his sister. He estimates that she is 1.60 metres tall. He then
measures his sister and finds that her true height is 1.40 metres.
Identify the absolute error of his estimate of her height.
Options
Q: 9
Define the standard deviation of a finite data set.
Options
Q: 10
Calculate the second order derivative of y with respect to x, where:
y = 3x2 + ex
Options
Question 1 of 10