Free Practice Test

Free 8010 Practice Test Questions and Answers (2026) | Cert Empire

PRMIA 8010

View Mode
Q: 1
Under the credit migration approach to assessing portfolio credit risk, which of the following are needed to generate a distribution of future portfolio values?
Options
Q: 2
According to the Basel framework, shareholders' equity and reserves are considered a part of:
Options
Q: 3
Economic capital under the Earnings Volatility approach is calculated as:
Options
Q: 4
An error by a third party service provider results in a loss to a client that the bank has to make up. Such as loss would be categorized per Basel II operational risk categories as:
Options
Q: 5
Which of the following are true:
Options
Q: 6
Which of the following statements is true:
Options
Q: 7
Under the CreditPortfolio View model of credit risk, the conditional probability of default will be:
Options
Q: 8
The probability of default of a security during the first year after issuance is 3%, that during the second and third years is 4%, and during the fourth year is 5%. What is the probability that it would not have defaulted at the end of four years from now?
Options
Q: 9
An assumption regarding the absence of ratings momentum is referred to as:
Options
Q: 10
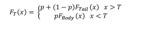
When fitting a distribution in excess of a threshold as part of the body-tail distribution method described by the equation below, how is the parameter 'p' calculated. PRMIA 8010 question Here, F(x) is the severity distribution. F(Tail) and F(Body) are the parametric distributions selected for the tail and the body, and T is the threshold in excess of which the tail is considered to begin.
Options
Question 1 of 10

Scroll to Top

FLASH OFFER

Days
Hours
Minutes
Seconds

avail 10% DISCOUNT on YOUR PURCHASE