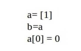
Q: 11
Which of the following lines of code will work flawlessly when put independently inside the
add_new () method in order to make the snippet's output equal to [0, 1, 1] ? (Select two answers)


Options
Discussion
No comments yet. Be the first to comment.
Be respectful. No spam.





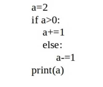
It will: