Q: 1
Failure to cite the significant contributions of other individuals in a final manuscript for publication
violates which category of the ASQ Code of Ethics?
Options
Discussion
No comments yet. Be the first to comment.
Be respectful. No spam.
Q: 2
A process capability analysis can best be used to
Options
Discussion
No comments yet. Be the first to comment.
Be respectful. No spam.
Q: 3
A company's quality policy should be developed by the
Options
Discussion
No comments yet. Be the first to comment.
Be respectful. No spam.
Q: 4
During the causes of a problem have been verified in the analysis phase of a six sigma project, they
will form the basis of the solution in Much of the following phases?
Options
Discussion
No comments yet. Be the first to comment.
Be respectful. No spam.
Q: 5
Rank in order, from most to least effective, the controls for mitigating risk.
1. Safety devices
2. Design change
3. Training
Options
Discussion
No comments yet. Be the first to comment.
Be respectful. No spam.
Q: 6
M in tills drawing, the symbol is being used to indicate the
H CalculatorOptions
Discussion
No comments yet. Be the first to comment.
Be respectful. No spam.
Q: 7
Which of the following equations is used to calculate the upper control limit for an average chart?
Options
Discussion
No comments yet. Be the first to comment.
Be respectful. No spam.
Q: 8
If a quality engineer discovers a situation in which unlabeled finished product could be shipped to
customers, what would be an appropriate preventive action to take?
Options
Discussion
No comments yet. Be the first to comment.
Be respectful. No spam.
Q: 9
80° o of weekly inspection non-conforming reports presented to the material review board (MRB) at
Marathon Manufacturing Co. end up not being dispositioned for corrective action. Project
management developed a risk management plan which included a standard repair manual (SRM) to
help mitigate these issues. Only conditions that exceed SRM requirements or specifications will now
be forwarded for MRB review. A week after releasing the SRM. the quality engineering team decided
to generate and distribute weekly alert reports of non-conformities that exceed SRM requirements
or specifications to all inspectors. They also instructed all employees involved in the creation of those
discrepancies be re-trained.
Which of the following processes may be considered a risk treatment?
Options
Discussion
No comments yet. Be the first to comment.
Be respectful. No spam.
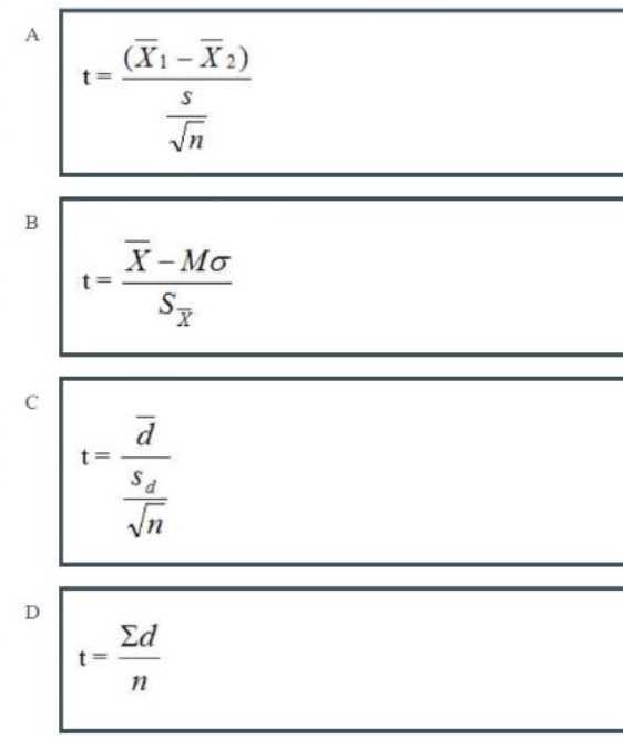
Q: 10
Which of the following is the correct test statistic to use for a paired-sample t test?


Options
Discussion
No comments yet. Be the first to comment.
Be respectful. No spam.
Question 1 of 20 · Page 1 / 2